Scala
类型
object Hello extends App { println("hello world") println(1 + 1) println(5 + 3*4) println((5). + (3).*(4)) println("abc".size) println("abc" + 4)}- 强类型语言
表达式与条件
object ExpressionAndCondition extends App { println(1 <= 2) val a = 5 // 声明不变量 val b = 6 if (a < b) { println("true") }else { println("false") }}- while 循环
var i = 1while (i <= 3){ println(i) i += 1}- for 循环
for(i <- args.indices){ println(args(i))}args.foreach(str => println(str)) // 函数式范围
val r1 = 1 to 10 by 2 // 步长为2val r2 = 1 to 10 // 步长为1val r3 = 1 until 10 by 2 // 步长为2 不包括10元组
val name = ("c", "xk")println(name._1 + name._2)val (x, y) = (1, 2)println(x+y)类
class User(username: String, password: String) // pojo类class UserService { val user = new User("cxk", "123") def printUser(){ println(user) }}new UserService().printUser构造器
class User(username: String){ def this(username: String, password: String){ this(username) println(password) }}扩展类
- 单例
object singleton { // 单例对象 def print = println("he") // 类方法}singleton.print- 继承
class Father(val name: String){ def say = println("i am f")}class Son(override val name: String, val age: Int) extends Father(name){ override def say: Unit = { super.say println("i am s") }}new Son("cx",1).say- trait
trait Part { def say = println("i am say")}class Person extends Object with Part{}new Person().say函数定义
def add(a: Int, b: Int): Int = a+bprintln(add(1,2))集合
- list
val list = List(1,2,3)println(list(2))println(list == List(1,2,3))- set
val set = Set(1,2,3)println(set - 2) // 集合运算println(set + 5)println(set -- Set(1,2)) // 集合间运算println(set ++ Set(5,6))println(set == Set(1,2,3))- map
val map = Map("name" -> "cxk","age" -> 18) // 不可变mapprintln(map("name"))val mMap = new mutable.HashMap[String, Any] // 可变mapmMap += "name" -> "cxk"mMap += "age" -> 18集合函数
- 高阶函数:以函数作为输入或以函数作为输出
val list = List(1,2,3)println(list.isEmpty)println(list.length)println(list.size)println(list.head)println(list.tail) // 返回去除第一个元素的listprintln(list.last)println(list.init) // 返回去除最后一个元素的listprintln(list.reverse) // 都不会修改原列表println(list.drop(1))println(list.count(i => i >= 2)) // 计算符合条件的元素个数println(list.filter(i => i >=2)) // 将符合条件的元素拿出来println(list.map(i => i *2))println(list.exists(i => i > 2)) // 是否存在这一的一个元素println(list.sortWith((a,b) => a > b))println((0 /: list){(sum, i) => sum+i}) // 从初始值0开始累加println(list.foldLeft(0)((sum,i) => sum + i))list.foreach(i => println(i))val map = Map("name" -> "cxk", "age" -> 18)map.foreach(entry => println(entry._1 + entry._2))Any 和 Nothing
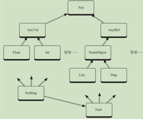
Any是所有类型的父类 Nothing是所有类型的子类 Null是一个Trait null是Null的实例

模式匹配
- switch
def switch(i: String): String = i match { case "1" => "one" case "2" => "two" case _ => "none"}println(switch("1"))println(switch("ss"))- 正则表达式
val reg = """\w""".r // 创建一个正则println(reg.findFirstIn("i am your"))并发
...
核心优势
- 并发
- 继承了 Java 的生态
- 语法灵活 有望自定义为DSL
- 内置的XML支持
不足
- 静态类型不适合OOP
- 虽然继承了 Java ,但某些语法还是很奇怪
- 引入了可变性